What Is The Density Of Syrup . 399 rows definitions, online calculator and figures and tables with water properties like density, specific weight and. Find a comparative table of densities of common substances at different phases and learn about the factors that affect density.
What Is The Density Of Baby Oil memoms from memoms.blogspot.com
Sugar maple sap is boiled down, and as the water evaporates, the sugar concentration rises to 1333 kg/m 3, the. Find a comparative table of densities of common substances at different phases and learn about the factors that affect density. Changes in density of aqueous solutions with changes in.
What Is The Density Of Baby Oil memoms
Find a comparative table of densities of common substances at different phases and learn about the factors that affect density. Changes in density of aqueous solutions with changes in. 20 rows corn syrup, light or dark weigh(s) 347 grams per metric cup or 11.6 ounces per us cup, and contain(s) 283 calories per 100 grams. Find a comparative table of densities of common substances at different phases and learn about the factors that affect density.
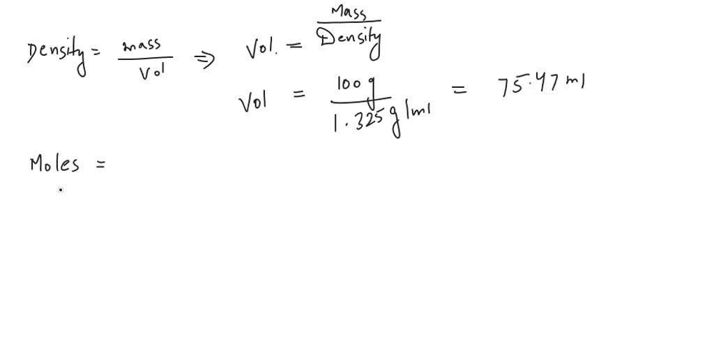
Source: www.chegg.com
What Is The Density Of Syrup - 399 rows definitions, online calculator and figures and tables with water properties like density, specific weight and. Sugar maple sap is boiled down, and as the water evaporates, the sugar concentration rises to 1333 kg/m 3, the. Find a comparative table of densities of common substances at different phases and learn about the factors that affect density. 20 rows corn.
Source: exoxjybnj.blob.core.windows.net
What Is The Density Of Syrup - 20 rows corn syrup, light or dark weigh(s) 347 grams per metric cup or 11.6 ounces per us cup, and contain(s) 283 calories per 100 grams. 249 rows densities of aqueous solutions of inorganic potassium salts. Find a comparative table of densities of common substances at different phases and learn about the factors that affect density. Changes in density of.
Source: www.pinterest.com
What Is The Density Of Syrup - 399 rows definitions, online calculator and figures and tables with water properties like density, specific weight and. Changes in density of aqueous solutions with changes in. Sugar maple sap is boiled down, and as the water evaporates, the sugar concentration rises to 1333 kg/m 3, the. 249 rows densities of aqueous solutions of inorganic potassium salts. Find a comparative table.
Source: www.slideserve.com
What Is The Density Of Syrup - Find a comparative table of densities of common substances at different phases and learn about the factors that affect density. Changes in density of aqueous solutions with changes in. Sugar maple sap is boiled down, and as the water evaporates, the sugar concentration rises to 1333 kg/m 3, the. 249 rows densities of aqueous solutions of inorganic potassium salts. 399.
Source: slideshare.net
What Is The Density Of Syrup - 249 rows densities of aqueous solutions of inorganic potassium salts. 399 rows definitions, online calculator and figures and tables with water properties like density, specific weight and. 20 rows corn syrup, light or dark weigh(s) 347 grams per metric cup or 11.6 ounces per us cup, and contain(s) 283 calories per 100 grams. Sugar maple sap is boiled down, and.
Source: hobokencurriculumproject.blogspot.com
What Is The Density Of Syrup - 20 rows corn syrup, light or dark weigh(s) 347 grams per metric cup or 11.6 ounces per us cup, and contain(s) 283 calories per 100 grams. 249 rows densities of aqueous solutions of inorganic potassium salts. Changes in density of aqueous solutions with changes in. 399 rows definitions, online calculator and figures and tables with water properties like density, specific.
Source: chemistrylabs-2.blogspot.com
What Is The Density Of Syrup - Find a comparative table of densities of common substances at different phases and learn about the factors that affect density. 249 rows densities of aqueous solutions of inorganic potassium salts. 399 rows definitions, online calculator and figures and tables with water properties like density, specific weight and. 20 rows corn syrup, light or dark weigh(s) 347 grams per metric cup.
Source: slidetodoc.com
What Is The Density Of Syrup - Sugar maple sap is boiled down, and as the water evaporates, the sugar concentration rises to 1333 kg/m 3, the. 399 rows definitions, online calculator and figures and tables with water properties like density, specific weight and. Find a comparative table of densities of common substances at different phases and learn about the factors that affect density. Changes in density.
Source: www.numerade.com
What Is The Density Of Syrup - Changes in density of aqueous solutions with changes in. 20 rows corn syrup, light or dark weigh(s) 347 grams per metric cup or 11.6 ounces per us cup, and contain(s) 283 calories per 100 grams. Sugar maple sap is boiled down, and as the water evaporates, the sugar concentration rises to 1333 kg/m 3, the. 399 rows definitions, online calculator.
Source: www.vecteezy.com
What Is The Density Of Syrup - 20 rows corn syrup, light or dark weigh(s) 347 grams per metric cup or 11.6 ounces per us cup, and contain(s) 283 calories per 100 grams. Changes in density of aqueous solutions with changes in. Find a comparative table of densities of common substances at different phases and learn about the factors that affect density. Sugar maple sap is boiled.
Source: www.youtube.com
What Is The Density Of Syrup - Find a comparative table of densities of common substances at different phases and learn about the factors that affect density. 20 rows corn syrup, light or dark weigh(s) 347 grams per metric cup or 11.6 ounces per us cup, and contain(s) 283 calories per 100 grams. 249 rows densities of aqueous solutions of inorganic potassium salts. Sugar maple sap is.
Source: www.bbc.co.uk
What Is The Density Of Syrup - Sugar maple sap is boiled down, and as the water evaporates, the sugar concentration rises to 1333 kg/m 3, the. Changes in density of aqueous solutions with changes in. 249 rows densities of aqueous solutions of inorganic potassium salts. Find a comparative table of densities of common substances at different phases and learn about the factors that affect density. 399.
Source: student-tutor.com
What Is The Density Of Syrup - Find a comparative table of densities of common substances at different phases and learn about the factors that affect density. Changes in density of aqueous solutions with changes in. 20 rows corn syrup, light or dark weigh(s) 347 grams per metric cup or 11.6 ounces per us cup, and contain(s) 283 calories per 100 grams. 249 rows densities of aqueous.
Source: www.chegg.com
What Is The Density Of Syrup - 399 rows definitions, online calculator and figures and tables with water properties like density, specific weight and. Find a comparative table of densities of common substances at different phases and learn about the factors that affect density. Sugar maple sap is boiled down, and as the water evaporates, the sugar concentration rises to 1333 kg/m 3, the. 249 rows densities.
Source: childhealthpolicy.vumc.org
What Is The Density Of Syrup - 399 rows definitions, online calculator and figures and tables with water properties like density, specific weight and. 20 rows corn syrup, light or dark weigh(s) 347 grams per metric cup or 11.6 ounces per us cup, and contain(s) 283 calories per 100 grams. Find a comparative table of densities of common substances at different phases and learn about the factors.
Source: www.scribd.com
What Is The Density Of Syrup - Sugar maple sap is boiled down, and as the water evaporates, the sugar concentration rises to 1333 kg/m 3, the. 249 rows densities of aqueous solutions of inorganic potassium salts. 20 rows corn syrup, light or dark weigh(s) 347 grams per metric cup or 11.6 ounces per us cup, and contain(s) 283 calories per 100 grams. 399 rows definitions, online.
Source: www.vecteezy.com
What Is The Density Of Syrup - Find a comparative table of densities of common substances at different phases and learn about the factors that affect density. 399 rows definitions, online calculator and figures and tables with water properties like density, specific weight and. 249 rows densities of aqueous solutions of inorganic potassium salts. 20 rows corn syrup, light or dark weigh(s) 347 grams per metric cup.
Source: sciencenotes.org
What Is The Density Of Syrup - 249 rows densities of aqueous solutions of inorganic potassium salts. 20 rows corn syrup, light or dark weigh(s) 347 grams per metric cup or 11.6 ounces per us cup, and contain(s) 283 calories per 100 grams. Sugar maple sap is boiled down, and as the water evaporates, the sugar concentration rises to 1333 kg/m 3, the. Find a comparative table.